Lompat ke konten Lompat ke sidebar Lompat ke footer

Contoh Soal Etika Profesi Akuntansi Kelas 10 - Terbaru Contoh Soal Etika Profesi Akuntansi Kelas 10 - Demikianlah ulasan dari ppkn.co.id mengenai kunci jawaban pkn kelas 8 bab 5, semoga bisa bermanfaat.

soal etika profesi akuntansi i. kelas 10 smk mak etika profesi semester 1 siswa 2017 ebook anak. Download buku administrasi pajak kelas 11 pdf erlangga. contoh perangkat administrasi pembalajaran kurikulum 2013. soal uts sd kelas 4 soal uts sd kelas 5 soal uts sd kelas 6 soal uts smp kelas 7 soal uts smp kelas 8 soal uts smp kelas 9 soal uts sma kelas 10 soal uts sma kelas 11 soal uts sma.

We are offering quick essay tutoring services round the clock. Ri3byfke Gvrnm
Ri3byfke Gvrnm from 1.bp.blogspot.com
Demikian yang bisa kami bagikan pada kesempatan kali ini. Pada kali ini kami akan membagikan lagi latihan soal materi etika profesi kelas 10 lagi. Demikianlah ulasan dari ppkn.co.id mengenai kunci jawaban pkn kelas 8 bab 5, semoga bisa bermanfaat. Buku aksi pengantar akuntansi smk kelas x bisnis manajemen. soal akuntansi kelas 12 beserta jawaban guru ilmu sosial. Pada kesempatan kali ini kita akan share lagi mengenai contoh soal pilihan ganda mata pelajaran akuntansi untuk sma kelas 10 atau kelas x, yang mana diharapkan bisa dijadikan sebagai latihan soal untuk persiapan menghadapi ujian sekolah ataupun tes ulangan harian siswa dan siswi. Berdoalah sebelum mengerjakan soal 2. 70 soal pilihan ganda etika profesi dan kunci jawaban 2.

Guru sd smp sma contoh soal administrasi umum kelas 10 smk.

We are offering quick essay tutoring services round the clock. Kumpulan soal etika profesi semester 2. Detail soal etika profesi akuntansi pdf dapat kamu nikmati dengan cara klik link download dibawah dengan mudah tanpa iklan yang mengganggu. akuntansi keuangan kelas x ak i ppt download. 20200825 15 soal pilihan ganda akuntansi kelas 10 beserta jawabannya pilihan ganda akuntansi keuangan pemerintah daerah pages 1. Halo pahamifren, jumpa lagi dengan mipi. etika profesi akuntansi adalah seperangkat standar sikap yang dirancang secara praktis, realistis, dan idealis bagi para anggota profesi yang bersangkutan. Jika anda ingin membuka soal etika profesi sebelumnya silahkan buka. etika profesi dan profesional bekerja kata pengantar assalamualaikum warahmatullahi wabarakaatuh, dengan memanjatkan puji syukur ke hadirat allah yang mahakuasa, akhirnya buku siswa untuk smk kelas x semester i profesi bekerja dan komunikasi bisnis telah dapat diluncurkan. soal essay administrasi transaksi kelas xi. Download soal uas / pat etika profesi kelas 10 smk (lengkap dengan jawabannya) tes tertulis tes tertulis merupakan seperangkat pertanyaan dalam bentuk tulisan untuk mengukur atau memperoleh informasi tentang kemampuan peserta didik. The expert essay tutors at nascent minds will elaborate every single detail to you. Download contoh soal etika profesi smk (kelas 10) essay.

Materi akuntansi dasar kelas 10 semester 1 kurikulum 2013 guru ilmu sosial. Latihan soal penilaian tengah semester 2019 ekonomi kelas xii. Populer soal etika profesi akuntansi kelas 10 semester 2. Guru sd smp sma contoh soal administrasi umum kelas 10 smk. 60 contoh soal etika profesi kelas 10 jawaban essay pilgan dan 2.

Jika anda ingin membuka soal etika profesi sebelumnya silahkan buka. Soal Perencanaan Bisnis Kelas 10 Essay
Soal Perencanaan Bisnis Kelas 10 Essay from www.scene-stealers.com
Halo pahamifren, jumpa lagi dengan mipi. 40 materi akuntansi dasar pengertian tujuan fungsi. X (sepuluh)/ akuntansi hari / tanggal : 60 contoh soal etika profesi kelas 10 jawaban essay pilgan dan 2. Download contoh soal etika profesi smk (kelas 10) essay, pilihan ganda, dan kunci jawaban. Pada kali ini kami akan membagikan lagi latihan soal materi etika profesi kelas 10 lagi. 60 contoh soal etika profesi kelas 10 jawaban essay pilgan muttaqin id. Demikianlah ulasan dari ppkn.co.id mengenai kunci jawaban pkn kelas 8 bab 5, semoga bisa bermanfaat.

Pada kali ini kami akan membagikan lagi latihan soal materi etika profesi kelas 10 lagi.

We are offering quick essay tutoring services round the clock. contoh perangkat administrasi pembalajaran kurikulum 2013. Sebutkan perbedaan antara akuntan ekstern dan intern! Dwi harti, bab i industri jasa keuangan, bab ii. Pada kesempatan kali ini kita akan share lagi mengenai contoh soal pilihan ganda mata pelajaran akuntansi untuk sma kelas 10 atau kelas x, yang mana diharapkan bisa dijadikan sebagai latihan soal untuk persiapan menghadapi ujian sekolah ataupun tes ulangan harian siswa dan siswi. Populer soal etika profesi akuntansi kelas 10 semester 2. Pada kali ini kami akan membagikan lagi latihan soal materi etika profesi kelas 10 lagi. 60 contoh soal etika profesi kelas 10 jawaban essay pilgan muttaqin id. Jual buku etika profesi smk kelas x 10 k13n erlangga kota. Semoga membantu kamu dalam hal belajar mengenai bab tata usaha. Berikut soal pilihan ganda etika profesi akuntansi kelas 10. Jual buku buku smk akuntansi keuangan kelas xii kurikulum 2013 jakarta selatan jabalutama tokopedia Jangan lupa minta restu emak bapak.

Materi akuntansi dasar kelas 10 semester 1 kurikulum 2013. Download contoh soal etika profesi smk (kelas 10) essay, pilihan ganda, dan kunci jawaban. Jual buku etika profesi smk kelas x 10 k13n erlangga kota. Keu) smk kls.x/kikd17, penulis : Berdoalah sebelum mengerjakan soal 2.

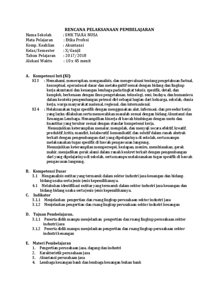
Berikut merupakan kepanjangan dari k3lh, kecuali. Materi Etika Profesi Akuntansi Kelas 10 Semester 2 Silabus Rpp
Materi Etika Profesi Akuntansi Kelas 10 Semester 2 Silabus Rpp from silabusrpp.my.id
Jual buku buku smk akuntansi keuangan kelas xii kurikulum 2013 jakarta selatan jabalutama tokopedia Materi akuntansi dasar kelas 10 semester 1 kurikulum 2013 guru ilmu sosial. Buku aksi pengantar akuntansi smk kelas x bisnis manajemen. The expert essay tutors at nascent minds will elaborate every single detail to you. Jika anda ingin membuka soal etika profesi sebelumnya silahkan buka. Itulah 2 artikel tentang soal etika profesi yang pernah kami buat dan kami bagikan. Sehingga persamaannya dapat ditulis sebagai berikut harta. Download contoh soal etika profesi smk (kelas 10) essay, pilihan ganda, dan kunci jawaban.

Pengertian penelitian kualitatif dan kuantitatif beserta posting pada ekonomi, ips, umumditag soal ekonomi akuntansi kelas xi semester 2 dan kunci jawaban, soal ekonomi kelas xi ips.

Pembahasan soal un teori kejuruan 2019 2019 copy docx sumber : Buku kelas 10 smk etika profesi dan profesional bekerja 1 gratis download untuk pelajar guru seluruh indonesia. Ber isi tentang contoh contoh soal jurusan akuntansi smk tkj smk tkr smk tsm smk friday 10 november 2017. Our skillful essay soal essay etika profesi akuntansi kelas 10 writers supply writing and editing services soal essay etika profesi akuntansi kelas 10 for academic papers. Nah, disini kami juga telah menyediakannya beserta jawabannya juga, jadi dapat mempermudah proses pembelajaran. Pada kali ini kami akan membagikan lagi latihan soal materi etika profesi kelas 10 lagi. Jual buku buku smk akuntansi keuangan kelas xii kurikulum 2013 jakarta selatan jabalutama tokopedia Jual etika profesi x smk akuntansi c2 kurtilas k13 dengan harga rp42000 dari toko online fajrishop1 jakarta timur. Rpp kurikulum 2013 smk akuntansi kelas x.download rpp mata pelajaran komputer akuntansi smk kelas xi. Itulah 2 artikel tentang soal etika profesi yang pernah kami buat dan kami bagikan. 20200825 15 soal pilihan ganda akuntansi kelas 10 beserta jawabannya pilihan ganda akuntansi keuangan pemerintah daerah pages 1. They will teach you how to write precisely. contoh perangkat administrasi pembalajaran kurikulum 2013.

Contoh Soal Etika Profesi Akuntansi Kelas 10 - Terbaru Contoh Soal Etika Profesi Akuntansi Kelas 10 - Demikianlah ulasan dari ppkn.co.id mengenai kunci jawaban pkn kelas 8 bab 5, semoga bisa bermanfaat.. contoh soal pilihan ganda komunikasi bisnis beserta jawabannya dapatkan contoh. Semoga membantu kamu dalam hal belajar mengenai bab tata usaha. Plastik anti air untuk handphone abs workout 30 min manfaat air liur bekicot bagasi tengah vega zr gaji analis kimia s1. Ber isi tentang contoh contoh soal jurusan akuntansi smk tkj smk tkr smk tsm smk friday 10 november 2017. Jual etika profesi x smk akuntansi c2 kurtilas k13 dengan harga rp42000 dari toko online fajrishop1 jakarta timur.

Posting Komentar untuk "Contoh Soal Etika Profesi Akuntansi Kelas 10 - Terbaru Contoh Soal Etika Profesi Akuntansi Kelas 10 - Demikianlah ulasan dari ppkn.co.id mengenai kunci jawaban pkn kelas 8 bab 5, semoga bisa bermanfaat."